快捷报班:   
快捷登陆: QQ登录 微博登录 你好,欢迎来到新东方
账号 密码 登录 注册 忘记密码
咨询 电话 置顶

新东方网>上海新东方学校>优能中学>优能初中>自主招生_提前录取_自荐生>正文

2018上海自主招生:华师大二附中自招数学卷(附答案)

2018-01-29 15:17

来源:网络

作者:

2018年上海中考各校自主招生已经排上日程,准备参加自招的同学们也要开始准备起来了,今天新东方优能中学为大家整理了各名校的自招试卷,下面是华师大二附中的自招数学试卷,快来看看自招的试卷难度都怎么样吧。

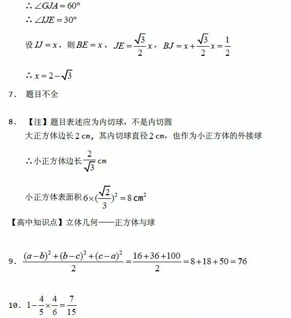
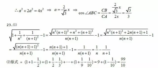
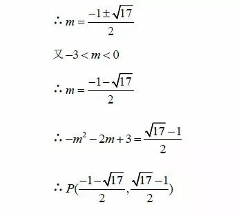
答案


版权及免责声明

凡本网注明"稿件来源:新东方"的所有文字、图片和音视频稿件,版权均属新东方教育科技集团(含本网和新东方网) 所有,任何媒体、网站或个人未经本网协议授权不得转载、链接、转贴或以其他任何方式复制、发表。已经本网协议授权的媒体、网站,在下载使用时必须注明"稿件来源:新东方",违者本网将依法追究法律责任。

本网未注明"稿件来源:新东方"的文/图等稿件均为转载稿,本网转载仅基于传递更多信息之目的,并不意味着赞同转载稿的观点或证实其内容的真实性。如其他媒体、网站或个人从本网下载使用,必须保留本网注明的"稿件来源",并自负版权等法律责任。如擅自篡改为"稿件来源:新东方",本网将依法追究法律责任。

如本网转载稿涉及版权等问题,请作者见稿后在两周内速来电与新东方网联系,电话:010-60908555。

大家都在看

×