快捷报班:   
快捷登陆: QQ登录 微博登录 你好,欢迎来到新东方
账号 密码 登录 注册 忘记密码
咨询 电话 置顶

新东方网>上海新东方学校>优能中学>优能初中>中考>中考数学>正文

中考数学提分专题:二次函数动点类综合问题

2017-08-18 13:06

来源:中考数学宝典

作者:中考数学宝典

中考数学提分专题:二次函数动点类综合问题


二次函数对于中考数学的重要性不言而喻,解好二次函数,就相当于中考数学考好一半。因此,二次函数对于中考数学的重要性可想而知。

中考数学考查二次函数的知识点非常多,如有二次函数的基本概念、二次函数的图象与性质、二次函数的应用、二次函数的综合运用等等。题型有二次函数综合问题、二次函数几何综合问题、二次函数动点问题、二次函数函数存在性问题、二次函数最值问题等等。

如果一名考生想在中考数学中拿到二次函数全部分数,就需要花大量时间和精力去学习相关知识内容,学会运用方法和技巧来解决问题,同时要接受大量习题训练等等。

今天我们就一起来讲讲与二次函数相关的动点类问题。动点类问题也一直是中考数学重难点,在全国很多地方的中考数学当中,动点类问题都当做压轴题来考查。

俗话说“点动成线,线动成面”,很多时候动点问题都会与几何知识进行相关联,所以二次函数动点类问题,很可能也会牵扯到大量几何方面的知识。因此,如果你想要吃透二次函数动点类综合问题,就需要吃透几何知识。如在几何图形的运动过程中,我们需要抓住一些图形特殊位置、关键数量关系中的“变”与“不变”的问题。


典型例题分析1:

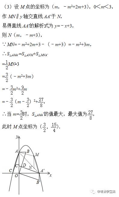
如图,在平面直角坐标系中,平行四边形ABOC如图放置,将此平行四边形绕点O顺时针旋转90°得到平行四边形A′B′OC′.抛物线y=﹣x2+2x+3经过点A、C、A′三点.

(1)求A、A′、C三点的坐标;

(2)求平行四边形ABOC和平行四边形A′B′OC′重叠部分△C′OD的面积;

(3)点M是第一象限内抛物线上的一动点,问点M在何处时,△AMA′的面积最大?最大面积是多少?并写出此时M的坐标.

 

考点分析:

二次函数综合题.

题干分析:

(1)利用抛物线与x轴的交点问题可求出C(﹣1,0),A′(3,0);计算自变量为0时的函数值可得到A(0,3);

(2)先由平行四边形的性质得AB∥OC,AB=OC,易得B(1,3),根据勾股定理和三角形面积公式得到OB的值,S△AOB=3/2,再根据旋转的性质得∠ACO=∠OC′D,OC′=OC=1,接着证明△C′OD∽△BOA,利用相似三角形的性质得S△C’OD/S△BOA=(OC’/OB)2,则可计算出S△C′OD;

(3)根据二次函数图象上点的坐标特征,设M点的坐标为(m,﹣m2+2m+3),0<m<3,作MN∥y轴交直线AA′于N,求出直线AA′的解析式为y=﹣x+3,则N(m,﹣m+3),于是可计算出MN=﹣m2+3m,再利用S△AMA′=S△ANM+S△MNA′和三角形面积公式得到S△AMA′=﹣3/2m2+9/2m,然后根据二次函数的最值问题求出△AMA′的面积最大值,同时刻确定此时M点的坐标.

解题反思:

本题考查了二次函数的综合题:熟练掌握二次函数的性质、抛物线与x轴的交点和二次函数的最值问题;会运用旋转的性质和平行四边形的性质;会利用相似三角形的性质计算三角形的面积。


动点类问题本身就是中考数学压轴题非常喜欢考查的考点,加上二次函数内容之后,更是让相关题型变得复杂、知识点增多,更能考查大家运用知识解决问题的能力。同时在二次函数动点类综合问题中,蕴含着丰富的数学思想,如常用有方程思想、数学建模思想、函数思想、转化思想、分类讨论法、数形结合法等等等。

正是基于此类问题的复杂性,二次函数动点类综合问题慢慢变成学生普遍感觉难以解决的一类问题。要想解决此类问题,关键在于如何根据题目提供的信息,依据动点的变化特征,抓住解决问题的关键,从而化难为易,巧妙解决。

典型例题分析2:

如图,在平面直角坐标系中,O为坐标原点,抛物线y=ax2+2xa+c经过A(﹣4,0),B(0,4)两点,与x轴交于另一点C,直线y=x+5与x轴交于点D,与y轴交于点E.

(1)求抛物线的解析式;

(2)点P是第二象限抛物线上的一个动点,连接EP,过点E作EP的垂线l,在l上截取线段EF,使EF=EP,且点F在第一象限,过点F作FM⊥x轴于点M,设点P的横坐标为t,线段FM的长度为d,求d与t之间的函数关系式(不要求写出自变量t的取值范围);

(3)在(2)的条件下,过点E作EH⊥ED交MF的延长线于点H,连接DH,点G为DH的中点,当直线PG经过AC的中点Q时,求点F的坐标.

 

考点分析:

二次函数综合题.

题干分析:

(1)利用待定系数法求二次函数的解析式;

(2)如图1,作辅助线构建两个直角三角形,利用斜边PE=EF和两角相等证两直角三角形全等,得PA′=EB′,则d=FM=OE﹣EB′代入列式可得结论,但要注意PA′=﹣t;

(3)如图2,根据直线EH的解析式表示出点F的坐标和H的坐标,发现点P和点H的纵坐标相等,则PH与x轴平行,根据平行线截线段成比例定理可得G也是PQ的中点,由此表示出点G的坐标并列式,求出t的值并取舍,计算出点F的坐标。


为了解好二次函数动点类综合问题,我们还需要掌握以下三种方法:

一是学会以静化动

如把问题当中关键点的位置或移动后的停止的位置想成一个点,然后运用知识去解决问题。

二是学会运用对称性

二次函数的图象是一种轴对称图形,我们一定要利用好二次函数这种特殊性,一定要注意对称性。

三是学会在变化过程建立等量关系

任何动点问题,最终都需要建立一个等量关系进行求解。因此,你必须学会在变化过程中,善于利用图形特殊性,建立相关方程、函数关系式等等。

中考这条路是一条充满艰辛道路,需要大家付巨大出努力,刻苦学习,同时更要讲究学习方法,多做题,多积累题型等等。

相关推荐:


中考如何拿高分

如何根据化学式计算

专家指导:中考满分作文六大秘诀。

更多中考报考指南及相关资讯,可以打开我们【上海新东方优能中学】的【中考报考指南】频道,上海新东方优能中学涵盖上海初中高中各方面学习升学相关的资讯和资料。上海新东方优能中学在这里预祝各位都能考取自己满意的学校。

版权及免责声明

凡本网注明"稿件来源:新东方"的所有文字、图片和音视频稿件,版权均属新东方教育科技集团(含本网和新东方网) 所有,任何媒体、网站或个人未经本网协议授权不得转载、链接、转贴或以其他任何方式复制、发表。已经本网协议授权的媒体、网站,在下载使用时必须注明"稿件来源:新东方",违者本网将依法追究法律责任。

本网未注明"稿件来源:新东方"的文/图等稿件均为转载稿,本网转载仅基于传递更多信息之目的,并不意味着赞同转载稿的观点或证实其内容的真实性。如其他媒体、网站或个人从本网下载使用,必须保留本网注明的"稿件来源",并自负版权等法律责任。如擅自篡改为"稿件来源:新东方",本网将依法追究法律责任。

如本网转载稿涉及版权等问题,请作者见稿后在两周内速来电与新东方网联系,电话:010-60908555。

大家都在看

×