快捷报班:   
快捷登陆: QQ登录 微博登录 你好,欢迎来到新东方
账号 密码 登录 注册 忘记密码
咨询 电话 置顶

新东方网>上海新东方学校>优能中学>优能初中>中考>中考数学>正文

高考向量问题难点在于数形结合,还是知识交汇点

2017-08-15 17:35

来源:中考数学宝典

作者:中考数学宝典

高考向量问题难点在于数形结合,还是知识交汇点


平面向量是大家非常熟悉的数学知识点之一,它不仅丰富了“数”的世界,更因其具有几何形式和代数形式的“双重性质”,这就让向量在数学世界成为一个特殊存在,如在高中数学学习里,向量可以成为很多知识内容板块之间的一个交汇点,成为多个知识板块之间的桥梁,如与平面解析几何、数列等内容相互结合。

平面向量具有数与形相互结合的特殊性,因此,在解决跟平面向量相关的数学问题时候,都需要用到数形结合等思想,这从某种程度上提高了向量相关数学问题的灵活性和层次性、难度等等。如向量与平面解析几何结合的数学问题,特别是有直线部分内容的问题,更加突出向量知识的重要性。

平面向量涉及到的知识点非常多,有平面向量的概念及其线性运算、平面向量的基本定理及坐标表示、平面向量的数量积与平面向量应用等等。

今天,我们就一起来讲讲平面向量的数量积与平面向量应用相关的知识内容和解题方法,希望对大家高考数学复习,能起到一定的帮助。

平面向量是在二维平面内既有方向又有大小的量,物理学中也称作矢量,与之相对的是只有大小、没有方向的数量(标量)。

用数学语言来表示就是平面向量用a,b,c上面加一个小箭头表示,也可以用表示向量的有向线段的起点和终点字母表示。

同时平面向量是处理其它问题的重要方法,通过将元素间的关系转化为数量关系,将过去的形式逻辑证明转化为数值计算,化繁难为简易,是一种重要的解决问题的手段和方法。


什么是两个向量的夹角?

已知两个非零向量a和b,作OA=a,OB=b,则∠AOB=θ叫做向量a与b的夹角.

向量夹角θ的范围?

向量夹角θ的范围是0°≤θ≤180°,a与b同向时,夹角θ=0°;a与b反向时,夹角θ=180°.

什么是向量垂直?

如果向量a与b的夹角是90°,则a与b垂直,记作a⊥b.

求两非零向量的夹角时要注意:

1、向量的数量积不满足结合律;

2、数量积大于0说明不共线的两向量的夹角为锐角,数量积等于0说明两向量的夹角为直角,数量积小于0且两向量不能共线时两向量的夹角就是钝角.

当a,b是非坐标形式时,求a与b的夹角,需求得a·b及|a|,|b|或得出它们的关系。

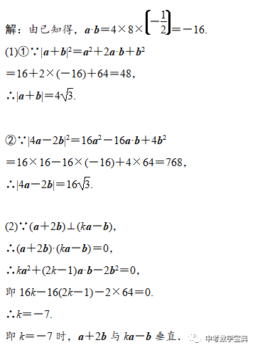
典型例题分析1:

已知|a|=4,|b|=8,a与b的夹角是120°.

(1)计算:①|a+b|,②|4a-2b|;

(2)当k为何值时,(a+2b)⊥(ka-b)?

对两向量夹角的理解:

1、两向量的夹角是指当两向量的起点相同时,表示两向量的有向线段所形成的角,若起点不同,应通过移动,使其起点相同,再观察夹角。

2、两向量夹角的范围为[0,π],特别当两向量共线且同向时,其夹角为0,共线且反向时,其夹角为π。

3、在利用向量的数量积求两向量的夹角时,一定要注意两向量夹角的范围。

向量与其它知识结合形成的数学问题,一般题目都新颖而精巧,既符合考查知识的“交汇处”的命题要求,又加强了对双基覆盖面的考查,特别是通过向量坐标表示的运算,利用解决平行、垂直、夹角和距离等问题的同时,把问题转化为新的函数、三角或几何问题。


什么是平面向量数量积?

已知两个非零向量a与b,则数量|a||b|·cos θ叫做a与b的数量积,记作a·b,即a·b=|a||b|cos θ,其中θ是a与b的夹角.

规定0·a=0.

当a⊥b时,θ=90°,这时a·b=0.

平面向量数量积问题的类型及求法:

(1)已知向量a,b的模及夹角θ,利用公式a·b=|a||b|·cos θ求解;

(2)已知向量a,b的坐标,利用数量积的坐标形式求解.

典型例题分析2:

向量运算与数量运算的区别:

 1、若a,b∈R,且a·b=0,则有a=0或b=0,但a·b=0却不能得出a=0或b=0;

2、若a,b,c∈R,且a≠0,则由ab=ac可得b=c,但由a·b=a·c及a≠0却不能推出b=c;

3、若a,b,c∈R,则a(bc)=(ab)c(结合律)成立,但对于向量a,b,c,而(a·b)·c与a·(b·c)一般是不相等的,向量的数量积是不满足结合律的;

4、若a,b∈R,则|a·b|=|a|·|b|,但对于向量a,b,却有|a·b|≤|a||b|,等号当且仅当a∥b时成立。

高考数学对平面向量的考查,主要突出平面向量的性质和运算法则,向量的坐标表示及运算,更重要是与其他数学内容结合在一起,如可以和曲线、数列等基础知识结合。这样做的主要目的是在于考查逻辑推理和运算能力等综合运用数学知识解决问题的能力。

希望大家在高考数学复习阶段,认真学习数学,攻克每一个知识点,数学成绩慢慢就会进步。

相关推荐:


中考如何拿高分

如何根据化学式计算

专家指导:中考满分作文六大秘诀。

更多中考报考指南及相关资讯,可以打开我们【上海新东方优能中学】的【中考报考指南】频道,上海新东方优能中学涵盖上海初中高中各方面学习升学相关的资讯和资料。上海新东方优能中学在这里预祝各位都能考取自己满意的学校。

版权及免责声明

凡本网注明"稿件来源:新东方"的所有文字、图片和音视频稿件,版权均属新东方教育科技集团(含本网和新东方网) 所有,任何媒体、网站或个人未经本网协议授权不得转载、链接、转贴或以其他任何方式复制、发表。已经本网协议授权的媒体、网站,在下载使用时必须注明"稿件来源:新东方",违者本网将依法追究法律责任。

本网未注明"稿件来源:新东方"的文/图等稿件均为转载稿,本网转载仅基于传递更多信息之目的,并不意味着赞同转载稿的观点或证实其内容的真实性。如其他媒体、网站或个人从本网下载使用,必须保留本网注明的"稿件来源",并自负版权等法律责任。如擅自篡改为"稿件来源:新东方",本网将依法追究法律责任。

如本网转载稿涉及版权等问题,请作者见稿后在两周内速来电与新东方网联系,电话:010-60908555。

大家都在看

×